Trabalho de Cálculo 2 - UFMG / 1998.
Autores :Adriano Alonso Veloso : adrianov@dcc.ufmg.br
Alex Borges Vieira : borges@dcc.ufmg.br
Romeo de Assis Gresta : romeo@dcc.ufmg.br
Professora : Sylvie : syok@mat.ufmg.br
Qualquer dúvida ou segestão favor entrar em contato com um dos endereços acima.
Introdução :
O trabalho consistia em analisar o movimento descrito por uma bolinha ao ser liberada de certa altura h e que após cada choque perdia certa quantidade de energia (sua velocidade era reduzida a 2/3). Seguindo princípios básicos de física e de séries numéricas fomos capazes de analisar e resolver os problemas propostos.
Examinando os primeiros casos percebemos o seguinte :

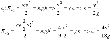
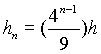
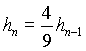
Ou seja, após cada choque a bola sobe a uma altura menor que a atingida anteriormente. Vemos também que há uma razão entre essas alturas. Observando os casos anteriores Concluimos entao que a razao entre cada altura é
,
logo:
, onde
e a altura atingida apos o choque e ![]()
e a altura que a bola cai antes do choque.
Para o caso geral temos : 
Para resolver esse problema nós usamos o princípio de 'conservação da energia do sistema'.
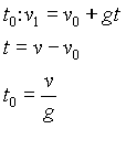
- Analisando os Primeiros casos temos verficamos o seguinte:
Obs: Tempo de subida = Tempo de descida
(só
para descer)
Após cada choque a velocidade se reduz a
e o tempo e multiplicado por 2 devido a subida e a descida, então:

Logo, pela analise dos casos verificamos que o tempo entre os choques também
segue uma razão. Concluímos a partir daí que o tempo entre choques
é Tn = 
Nós usamos nesse problema equações de queda livre (movimento acelerado).
Þ Para isso podemos mostrar que o tempo entre 2 choques tende a zero para choques distantes (ou seja , os últimos choques). Para isso analisamos o tempo entre o n-ésimo e o n+1-ésimo choque (n muito grande).
Temos que o tempo entre 2 choques é : é Tn = 
Para n muito grande temos que o tempo é dado pelo ‘Limite’ a seguir:

Esse resultado já era esperado pois senão a bola ficaria saltando para sempre, o que observamos na prática ser impossível !.
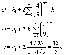
A bola percorre a altura inicial mais duas vezes cada altura a partir daí. Basta então somarmos a primeira altura, mais duas vezes as demais. Podemos obter as demias a partir do somatório das alturas (de 2 a infinito). Temos então:

Na lua, como a gravidade é menor , os valores das alturas, tempos decorridos entre dois choques e distância total percorrida iriam aumentar, mas ainda assim a bola iria parar. Podemos exemplificar isso com a altura entre dois choques. Suponhamos que o valor da gravidade da Lua e a metade da gravidade da terra .
Examinando os primeiros casos:
H1 : Em1 = mv2/2 = mgh/2 è v2 = gh è h = v2/g
H2 : Em1 = m(2/3v2)/2 = mgh/2 è 4v2/9 = gh è h = 4v2/9g
Podemos observar claramente que esses valores são maiores que os da terra !! Como já dito antes o mesmo ocorre para os demais valores !!