MAT039 – Cálculo Diferencial e Integral II
Projeto 1
2° Semestre de 1998
Resolvido por "Untouchables":
Projeto 1.3: Rosácea de quadrados
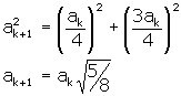
Uma figura geométrica é construída por uma seqüência de quadrados. No primeiro estágio, é desenhado um quadrado de lado a1. No interior deste quadrado é desenhado um segundo quadrado unindo-se os quatro pontos que estão a uma distância a1 / 4 do vértice à esquerda, fixado o sentido anti-horário. Denotamos por a2 o comprimento dos lados deste segundo quadrado. Assim sucessivamente são desenhados quadrados um dentro do outro, cada um com lado ak.
1. Faça um desenho:

2. Ache uma relação entre ak + 1 e ak:

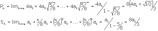
3. Calcule o limite dos comprimentos dos lados, dos perímetros e das áreas:

4. Calcule a soma das áreas e a soma dos perímetros:
