UFMG/ICEx/DCC
Bacharelado em Ciência da Computação
Projeto de Cálculo II
Autores: Adriano Guedes
Alessandro Gonçalves Pereira Campos
Fernando Magno Quintão Pereira
Título: O movimento planetário
Um planeta movimenta-se em torno do sol num caminho polar dado por:
1: Verifique que o caminho é uma elipse:
2: Calcule o periélio ( a menor dist6ancia do sol ao planeta ):
Resolução:
Seja r o raio que une o centro do sistema polar ao ponto móvel P. Sabemos que a relação entre o raio e o ângulo ente o eixo polar o segmento que une o centro ao ponto é:
Vejamos o que acontece quando o angulo varia de 0 até 360 graus.
|
Angulo ( graus ) |
Raio ( unidades de comprimento ) |
|
0º |
1/3 |
|
60º |
2/5 |
|
90º |
1/2 |
|
120º |
2/3 |
|
180º |
1 |
|
240º |
2/3 |
|
270º |
1/2 |
|
300º |
2/5 |
|
360º |
1/3 |
Marcando-se os pontos, obtêm-se o seguinte gráfico:
É claro que o simples desenho não prova que a figura em questão é uma elipse.
Tal demonstração é feita mediante a substituição do sistema de coordenadas, ou seja, do sistema polar para o sistema cartesiano.
Para a substituição, usamos das seguintes relações entre r, x e y:
Assim, temos os seguintes cálculos:
Tendo feita a mudança no sistema de coordenadas, obtém-se este novo desenho:
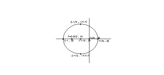
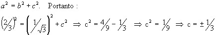
As coordenadas focais podem ser obtidas através da seguinte relação entre as medidas dos eixos da elipse:
Sendo 2c a distância que une os dois focos da elipse, temos que as coordenadas cartesianas dos focos são: F(-2/3,0) e F1(0,0). Veja o gráfico abaixo:
Como a elipse corresponde à orbita de um planeta em torno do sol, a distância mais próxima entre os dois corpos ocorre no eixo horizontal. Seja D tal distância:
D = a –c D = 2/3 – 1/3 D= 1/3.
Desse modo, podemos concluir que o periélio solar mede 1/3 da unidade de medida em questão.