Projeto de Calculo II
Cônicas, coordenadas polares, curvas :
Leonardo Erik
Paulo Viallet
Daniel Vasconcelos
2.9 - Movimento Planetário
* Um Planeta se movimenta em torno do sol num caminho polar ado por
com o sol na origem.
INTRODUÇÃO:
O movimento dos planetas é algo que vem sendo estudado desde muito tempo atrás. Talvez pelo fato de os efeitos celestes exercerem tanta influência na vida das pessoas e despertar tanta especulação. Assim, a necessidade de se estabelecer as épocas de plantio e colheita e sua relação com a posição do planeta em relação ao sol levou os astrônomos da antigüidade a coletar um grande número de dados sobre os movimentos destes astros.
As primeiras tentativas para explicar o movimento dos corpos celestes são devidas aos gregos, no século IV a.C. Tentando reproduzir os movimentos destes corpos, os gregos estabeleceram um modelo no qual a Terra era situada no centro do universo ( Teoria Geocêntrica ) e os planetas, bem como o sol, a lua e as estrelas estariam incrustados em esferas que giravam em torno da Terra. Com este modelo, conseguiu-se descrever, com aproximação razoável, os movimentos dos corpos no céu. Na tentativa de melhor ajustar o modelo aos fatos observados, os gregos tiveram que lançar mão de um grande número de esferas para explicar o movimento de um único planeta. Isto tornou o universo grego muito complicado e, durante muitos anos, várias tentativas foram feitas para se conseguir um modelo mais simples.
Das tentativas de simplificação do modelo grego, aquela que obteve maior êxito foi a teoria geocêntrica do grande astrônomo Ptolomeu, que viveu na Alexandria no século II d.C. Ptolomeu, supunha que os planetas moviam-se em círculos cujos centros giravam em torno da Terra. Com isto, além de apresentar um modelo mais simples do que o dos gregos, ele conseguiu um melhor ajustamento aos movimentos observados no céu.
Em virtude da razoável precisão das previsões feitas com o sistema de Ptolomeu e, além disso, como a sua teoria, supondo a Terra no centro do universo, se adaptasse muito bem à filosofia religiosa da idade média, as idéias de Ptolomeu perduraram durante praticamente 13 séculos. Entretanto, as sucessivas modificações introduzidas neste modelo, para torná-lo adaptado às observações que foram se acumulando durante este longo período, acabaram por tornar o sistema de Ptolomeu também muito complicado.
O astrônomo polonês, Nicolau Copérnico ( 1473-1543) , no século XVI, apresentou um modelo mais simples para substituir o sistema de Ptolomeu. Sendo um homem de profunda fé religiosa, Copérnico acreditava que " o universo deveria ser mais simples, pois Deus não faria um mundo tão complicado quanto o de Ptolomeu ".
No modelo de Copérnico, o sol estaria em repouso e os planetas, inclusive a Terra, giravam em torno dele e em órbitas circulares ( Teoria Heliocêntrica ). Esta idéia já havia sido proposta por alguns filósofos da Grécia antiga. Com sua teoria heliocêntrica, Copérnico conseguia uma descrição do movimento dos corpos celestes tão satisfatória quanto aquela obtida através do sistema de Ptolomeu, com a vantagem de ser um modelo bem mais simples do que o geocêntrico.
Entretanto, um sistema em que o sol era considerado imóvel e a Terra passava a ser um planeta em movimento, como qualquer um dos outros, era fundamentalmente contra a filosofia aristotélica e as convicções religiosas da época. Em virtude disto, Copérnico relutou muito em publicar suas idéias. O livro no qual Copérnico apresentava a sua teoria causou grandes polêmicas e terminou sendo colocado na lista dos livros proibidos pela igreja.
Alguns anos após a morte de Nicolau Copérnico, o astrônomo dinamarquês, Tycho Brahe, começou a desenvolver um importante trabalho no sentido de obter medidas mais precisas das posições dos corpos celestes. Em seu observatório, muito bem equipado para a época, Tycho Brahe realizou, durante cerca de 20 anos, rigorosas observações dos movimentos planetários, verificando que o sistema de Copérnico não se adaptava satisfatoriamente a essas observações.
Os dados colhidos por Tycho Brahe, cuidadosamente tabelados, constituíram a base do trabalho que foi desenvolvido, após sua morte, por seu discípulo, o astrônomo alemão Johannes Kepler (1571-1630). Entusiasmado pela simplicidade do sistema de Copérnico, Kepler acreditava que seria possível introduzir alguma correção neste modelo, de modo a torná-lo mais ajustado aos movimentos dos corpos celestes realmente observados. Desenvolveu o seu trabalho analisando cuidadosamente, com grande habilidade matemática, durante cerca de 17 anos, a grande quantidade de dados coletados por Tycho Brahe. O trabalho de Kepler foi coroado de êxito, tendo conseguido descobrir as três leis sobre o movimento dos planetas, que deram origem ao nascimento da mecânica celeste.
A correção do sistema de Copérnico, procurada por Kepler, é expressa através de sua 1ª lei que diz que qualquer planeta gira em torno do sol, descrevendo uma orbita elíptica, da qual o sol ocupa um dos focos. Seus estudos o levaram a concluir que, realmente, os planetas se movem em torno do sol, mas suas órbitas são elípticas e não circulares como supunha Copérnico. Devemos salientar que a órbita de um planeta não é uma elipse muito alongada. Na realidade, na maioria das vezes, as órbitas pouco diferem de uma circunferência e é realmente impressionante como as medidas de Tycho Brahe puderam ser tão precisas que possibilitaram ao gênio de Kepler descobrir que as órbitas são elípticas. O achatamento de uma elipse é medido através de sua excentricidade. A órbita da Terra em torno do sol é praticamente circular, ou seja, excentricidade aproximadamente igual a 1 ( um ).
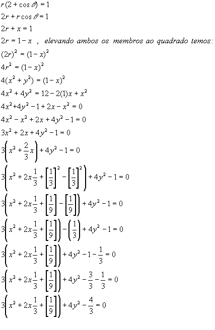
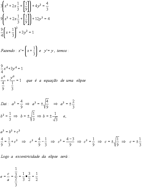
Os Cálculos
Voltando ao que foi proposto,
faça-mos os cálculos para provar que a equação dada é uma elipse :
![]()

Continuando :

Temos então o gráfico :
a
Calculando o periélio, temos :

O sol se localiza em um dos focos, portanto tanto faz qual das distâncias vamos calcular
( Direita ou Esquerda ). A elipse é a orbita do planeta.
O centro da elipse localiza-se em :
![]()
***