Quádricas 

 

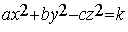
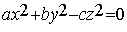
sendo os coeficientes a,b,c,k > 0 

ou a,b,c,k < 0

 

Esfera

 

Esfera  (caso particular do elipsóide)  

 

 

Elipsóide

 

Elipsóide   

 

Sendo ab ou bc ou a 

 

 

Hiperbolóide de uma folha

 

Hiperbolóide de uma folha com projeções nos eixos coordenados

 

Hiperbolóide de uma folha   

A segunda figura mostra as projeções nos planos coordenados. Neste caso duas hipérboles e uma elipse.

 

Hiperbolóide de duas folhas

 

Hiperbolóide de duas folhas com projeções nos planos coordenados

 

Hiperbolóide de duas folhas   

 

 

A segunda figura mostra as projeções nos planos coordenados.Neste caso duas hipérboles e uma elipse.

 

cone

 

Cone com projeções nos eixos coordenados

 

Cone  

 

 

A segunda figura mostra as projeções nos planos coordenados.Neste caso duas retas e uma elipse.

 

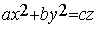
Parabolóide

 

Parabolóide com projeções nos eixos coordenados

 

Parabolóide  (Caso particular do parabolóide elíptico)  

A segunda figura mostra as projeções nos planos coordenados.Neste caso duas parabolas e uma circunferência.

 

Parabolóide Elíptico

 

Paraboloide Elíptico com as projeções nos eixos coordenados

 

Parabolóide elíptico   

 

A segunda figura mostra as projeções nos planos coordenados.Neste caso duas parabolas e uma elipse.

 

Parabolóide Hiperbólico ou Sela

 

Parabolóide Hiperbólico ou Sela com projeções nos eixos coordenados

 

Parabolóide Hiperbólico ou Sela   

 

 

A segunda figura mostra as projeções nos planos coordenados.Neste caso duas parabolas e uma hipérbole.

 

Parabolóide degenerado

 

Parabolóide degenerado com projeções nos eixos coordenados

 

Parabolóide Degenerado   

 

 

A segunda figura mostra as projeções nos planos coordenados.Neste caso duas parabolas e uma reta.

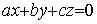
Plano

Quadrica Degenerada  (Plano)  

 

Degeneração da equação das quádricas não tendo termo quadrático.

Cilindro

 

Cilindro

 

Cilindro  

 

a x2 + b y2 + d x + e y = k

 

São originados das cônicas ,mas em dimensão 3. Use o tabela de cônicas para reconhecer a secção transversa do cilindro.

 

Tabela produzida pelos alunos do PROIN

Marcelo Manzali Bonaccorsi

Roberto Andrade Mansur